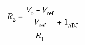
Found in a Linear Technology documentation from the 1990s, this circuit has the voltage adjusted by resistors R1 and R2 according to the formula given in the diagram.
The circuit shown is from an old European publication. In it we have the way to activate a relay...
We found this circuit in a European publication from the 1990s. Transistors are still common types...
This circuit was found in an American documentation and can be added to common amplifiers of any...