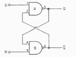
The figure shows how to connect a 7400 to obtain a bistable configuration. The circuit must be powered with 5 V.
This circuit uses a unijunction transistor in a different configuration to generate rectangular pulses at...
We found this configuration in a 1974 technical documentation. It can test both TTL logic circuits and...
We found this circuit in an old American publication. The circuit is designed to measure the...